欢迎登陆博智教育官网
菏泽博智教育 菏泽博智教育 菏泽博智教育
首页> 最新资讯

博智教育总结初中数学综合性难题的解题方法,赶快收藏!

发布时间:2023-12-13

写在前面:

初中数学学习的过程中会出现哪些问题呢?需要怎么解决呢?今天老师为同学们整理了初中数学学习必然出现的问题解决法,资料宝贵,值得收藏细读!


图片
图片


图片
第一,学习方法方面的问题。


(1)做几何题时候不会做辅助线
  
原因:对于几何模型认识不充分
  
解决方案:每一种基本的几何模型都有定义、性质和判定三方面,要将这三方面知识熟记于心。一般来说应用的过程是:判定是哪种模型→此模型有何性质→此性质能不能直接用→若不能,则作辅助线体现其性质。例如:暑假学的平行四边形模型→对角线互相平分,对边平行且相等,对角相等。等腰三角形模型→三线合一。倍长中线模型→有三角形一边中点,可以考虑倍长中线构造全等。还有梯形的的三类辅助线,都应该熟记。
  
(2)考虑问题不全面,不会进行分类讨论
  
解决方案:
  
1、注意几种经常需要分类讨论的知识点,就初二暑假的知识点而言,函数自变量取值的范围,一次函数的k,b的正负性,平方根的双重性,直角坐标系中点的坐标与线段长度的转化等等。
  
2、学会讨论方法,把每一种情况都写下来,然后分别解出每种情况下的结果。
  
3、注意分类之后的取舍,并不是所有情况都是正确答案,尤其是解分式方程和根式方程的时候,会出现增根,一定要检验。
  
(3) 自信心不足,不敢下手
  
原因:
  1、对于题型本身掌握不好,没思路;
  2、有些想法,不知道是否正确,不敢动笔;
  3、不会写过程;
  4、会做,懒得写。后果:导致考试比作业还差。
  
解决方案:
  1、问老师、对比类似的例题寻找相同之处;几何先找模型,在思考此种模型的性质特点以及辅助线做法。代数看过程,分析每一步的目的;
  2、有想法一定要落实在笔头上。怕错写在草稿纸上,视觉带给我们的思路远比空想要多;
  3、上课认真记笔记,将老师的解题过程详细的记录在本上,几何有模型,代数有步骤。多模仿老师的解题过程,慢慢熟练;
  4、会做不代表能做对,很多题目的易错点只有在做后才会发现。很多丢分的题目往往是那些一看就会一坐就错的“简单题”;
5、有时候解题方法不是一下子就能想出来的,一步就能想出来,那就是完美主义理想。所以在没有明确思路的情况下,我们可以多尝试,一定可以找到正确的思路方式。
  
第二,学习习惯的方面的问题
  
(1)喜欢用铅笔
  
后果:过于依赖铅笔,习惯于没想好就下笔,导致考试时多次使用修改,卷面凌乱。当没有可涂改工具是不敢下笔写。
  
解决方案:除了画图,其他一律使用签字笔书写。除了笔误,由于思路不清或是方法错误导致的失误尽量不要用涂改带修改,标明错误,在一旁写下正确答案。一来,养成“慢想快写”的好习惯二来可以保留错误作为警戒,三来,强制自己的行文工整,否则会一团糟。
  
(2)几何题用签字笔或圆珠笔在图上标注
  
后果:原图被涂改的一团糟,什么都看不清。
  
解决方案:改用铅笔画图,学会科学的标注相等的线段,相等的角,辅助线用虚线等等。
  
(3)看见题目,急于下手,结果思考不出来
  
解决方案:这个时候同学们再读几遍题目,尤其是几何题,综合题。看清题目的已经条件,转化成自己理解的方式,同时将已知条件标注到图上。
  
(4)计算粗心
  
解决方案:
  
1、解题时,严格按照步骤进行,写出详细过程;
2、做题要规范;对于易混、易错的知识要善于总结、积累,从而有针对性的进行练习。
  
第三,学习态度方面的问题
  
(1)简单题不愿做,难题不会做

原因:浮躁。后果:在初二初三的学习会直线下降。

解决方案:强迫自己认真完成每一道自己会做的题,认真思考每一道自己不会的题。保证会做的最对,不会的问会。毕竟,学习是自己的事情,学不好,最着急的是自己。记住,不要放弃。
  
(2)做题不写过程
  
后果:
  1、不会写过程;
  2、考试没有过程分;
  3、思考不严谨,导致做错或遗漏答案;
  4、难题没思路。
  
解决方案:将思考的事情写成文字,用数学语言表述自己的思维过程。每一个步骤从何而来,有何作用,写在纸上才能看得清清楚楚。同时,锻炼书写能力以及适当的排版都是对考试有所帮助的。简单题多梳理思路,遇到难题才不会手忙脚乱,按部就班的分块解决每一部分,多锻炼思维的逻辑性才能做到目无全牛,条理清晰。
  
(3)自我放弃
  
解决方案:这类型的同学主要是在数学学习中没有找到自我成就感,在这种情况下要学好数学,就需要自身努力,相信自己,但家长和老师的鼓励也是非常重要的。

一、加法


加法,添加组合多个元素,使单一模型变复合,解决方法:复合问题分解为基本模型。

例1.已知ΔABC与ΔDCE都是等腰直角三角形,BC与CE均为斜边(BC<CE),B,C,E在同一直线上,过E作EF⊥DE,取EF=AB,连结AF交BE于点M.

(1)求证:AM=MF;

(2)请判断ΔADF的形状,并给予证明;

(3)请用等式表示线段AF,BC,CE的数量关系,并说明理由.

图片

本题图形由两个等腰直角三角形、两对全等三角形组合而成,我们从中分解出两对全等三角形如下:

图片

图片

能够分析出这些基本图形后,几个问题便不难解决。

图片
图片


图片
图片
图片

二、减法

减法,删减条件关键部分,使完整模型变残缺,解决方法:添补辅助图形构造完整模型。

例2.如图,四边形ABCE中,∠A=∠B=90°,AB=BC=12,∠ECF=45°,若BF=4,则EF的长为           

图片

本题的原型是等线含半角模型,把图形补充完整如下图:

图片

构造辅助线如下图,在RtΔAEF中即可用勾股定理求得EF长。

图片

图片
图片


图片
图片
图片

三、变法

变法,图形局部运动变换,使紧密模型变松散,解决方法:运动变换使条件产生联系。

例3.如果三角形的两个内角α与β满足2α+β=90°,那么我们称这样的三角形为“准互余三角形”。

(1)若ΔABC是“准互余三角形”,∠C>90°,∠A=60°,则∠B=      °;

(2)如图①,在RtΔABC中,∠ACB=90°,AC=4,BC=5,若AD是∠BAC的角平分线,不难证明ΔABD是“准互余三角形”。试问在边BC上是否存在点E(异于点D),使得ΔABE也是“准互余三角形”?若存在,请求出BE的长;若不存在,请说明理由。

图片

(3)如图②,在四边形ABCD中,AB=7,CD=12,BD⊥CD,∠ABD=2∠BCD,且ΔABC是“准互余三角形”,求对角线AC的长。

图片

问题(2)的解法如下:

图片

问题(3)的图形实质就是把问题(2)的图形沿AE翻折而得到的,如下图:

图片

我们解题时再把图形翻折回去恢复为(2)中的图形即可顺利解决!

图片

图片

图片
图片


图片
图片
图片

四、动法

动法,位置或数量不确定,使结论有多种情况,解决方法:分类讨论通盘考虑各个击破。

例4.如图,在平面直角坐标系中,已知ΔAOB是等边三角形,点A的坐标是(0,4),点B在第一象限,点P是x轴上的一个动点,连接AP,并把ΔAOP绕着点A按逆时针方向旋转,使边AO与AB重合,得到ΔABC.
(1)求点B的坐标;
(2)当点P运动到点(t,0)时,试用含t的式子表示点C的坐标;
(3)是否存在点P,使ΔOPC的面积等于√3/4,若存在,请求出符合条件的点P的坐标(直接写出结果即可).

图片

第(2)问构造图形如下,得C(2√3+1/2t,2+√3/2t)。

图片

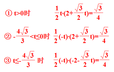
第(3)问中点P在x轴上的运动过程中点C在不同位置时,面积的表示方式不同,因而要根据C点位置分类讨论,可以这样思考:ΔOPC的底边OP是P点横坐标的绝对值,OP边上的高是C点纵坐标的绝对值(C点轨迹是直线BC),按两个坐标符号可分为:(+,+)、(-,+)、(-,-),然后直接用(2)问结论代入计算:

图片

图片
图片


图片
图片
图片

五、隐法

隐法,线条隐去化为动点,使可见关系变隐藏,解决方法:寻找动点轨迹化为显性问题。

例5.新定义:直线l1、l、l2,相交于点O,长为m的线段AB在直线l2上,点P是直线l1上一点,点Q是直线l上一点.若∠AQB=2∠APB,则我们称点P是点Q的伴侣点;

(1)如图1,直线l2、l的夹角为30°,线段AB在点O右侧,且OA=1,m=2,若要使得∠APB=45°且满足点P是点Q的伴侣点,则OQ=      

(2)如图2,若直线l1、l2的夹角为60°,且m=3,若要使得∠APB=30°,线段AB在直线l2上左右移动.

①当OA的长为多少时,符合条件的伴侣点P有且只有一个?请说明理由;

②是否存在符合条件的伴侣点P有三个的情况?若存在,请直接写出OA长;若不存在,请说明理由.

图片

本题的真实面目是圆的问题,而圆在题中被隐藏,用符合条件的未知点所代替。解题时需找出符合条件的点所在的轨迹,初中阶段一般为圆弧或直线,画出完整图形把问题转化如下:

图片

问题(1)即为:以AB为直径的圆与直线l交于点Q,求OQ;

问题(2)①即为:以AB为弦的两弧其中一弧与直线l1相切,另一弧与直线l1相离,显然分两种情况;

图片

图片

问题(2)②即为:以AB为弦的两弧其中一弧与直线l1相切,另一弧与直线l1相交,分两种情况,如下图。

图片

图片

有了完整的图形,再根据切线的性质,OA的长度并不难求。

图片
图片


图片
图片
图片

六、改法

改法,因果交换同类替代,使问题形式变不同,解决方法:总体思路不变局部环节调整。

例6.【发现】如图1,点E,F分别在正方形ABCD的边BC,CD上,连接EF.

因为AB=AD,所以把△ABE绕A逆时针旋转90°至△ADG,可使AB与AD重合.因为∠CDA=∠B=90°,所以∠FDG=180°,所以F、D、G共线.
如果       (填一个条件),可得△AEF≌△AGF.

经过进一步研究我们可以发现:当BE,EF,FD满足      时,∠EAF=45°.

图片

【应用】如图2,在矩形ABCD中,AB=6,AD=m,点E在边BC上,点F在DC边上,且BE=2.

(1)若m=8,且∠EAF=45°,求DF的长;

(2)若∠EAF=45°,求m的取值范围.

图片

本题把等线含半角模型中的半角条件“∠EAF=45°”改为结论,而结论“BE+DF=EF”变为条件,思路与证法一样。后面的问题进一步把正方形改为矩形,再把矩形的一边改为未知值。构造下面的图形求出x的值即可求得DF的长:

图片

第(2)问当C点与E点重合时m最小,当C点与F点重合时m最大。

图片

求最大值构造如下图:

图片

由相似形得(m-6):(m+6)=2:6,得m=12,所以2≤m≤12。

本题中正方形可以改为一般的四边形,满足:AB=AD,∠BAD+∠C=180,∠EAF=1/2∠BAD,则可证结论BE+DF=EF。

图片

也可以把E点运动到BC的延长线上,同法可证BE-DF=EF,如下图。

图片

图片
图片


图片
图片
图片

七、造法

造法,创造新概念新方法,使问题情境变新颖,解决方法:用所学知识模型转化新问题。

例7.定义:有三个内角相等的四边形叫三等角四边形.

(1)三等角四边形ABCD中,∠A=∠B=∠C,求∠A的取值范围;

(2)如图,折叠平行四边形纸片DEBF,使顶点E,F分别落在边BE,BF上的点A,C处,折痕分别为DG,DH.求证:四边形ABCD是三等角四边形;

(3)三等角四边形ABCD中,∠A=∠B=∠C,若CB=CD=4,则当AD的长为何值时,AB的长最大,其最大值是多少?并求此时对角线AC的长.

图片

题中的新概念“三等角四边形”还属于四边形,第(1)问用四边形内角和即可解决,设∠A=x,则∠D=360°-3x,0<360°-3x<180°,得60°<∠A<120°。第(2)问结合平行四边形性质容易解决。第(3)问借助平行四边形、相似三角形、二次函数可解决,由(1)中的取值范围确定分类标准:60°<∠A<90°,90°<∠A<120°,∠A=90°(是正方形AB=4),如下图:

图片

图片

综上可得AB的最大值为5,再构造直角三角形可求得AC的长。

图片

上面几种方法可以交叉和综合使用,这样的题目灵活多变方法多样,能充分考察和训练学生的思维能力,解题者了解这些方法可以对解题能力的提升产生莫大的帮助。

联系菏泽博智

  • 1对1咨询:
  • 15506627178
  • 课程咨询:立即咨询
  • 咨询热线:
  • 15506627178
  • 13854026679
  • Copyright © 2017-2025 菏泽博智教育咨询有限公司 版权所有    鲁ICP备20020203号    鲁公网安备37170202666046 技术支持:千合网络