欢迎登陆博智教育官网
菏泽博智教育 菏泽博智教育 菏泽博智教育
首页> 最新资讯

博智教育整理了高中物理电磁感应中含电容单杆模型解析!

发布时间:2023-12-17

电磁感应中含电容单杆问题,主要有三类:


一、第一类

图片

高中阶段,电路中电阻一般忽略不计,如下图所示。

图片

(1)电路特点:导体为发电边;电容器被充电。

(2)三个基本关系

导体棒受到的安培力为:图片

导体棒加速度可表示为:图片

回路中的电流可表示为:图片

(3)四个重要结论:

①导体棒做初速度为零匀加速运动:

图片

图片

②回路中的电流恒定:     

图片

③导体棒受安培力恒定:

图片

④导体棒克服安培力做的功等于电容器储存的电能:

图片

简证:图片

图片

也得:电容器存储的能量公式为:

图片

(4)变形:导轨有摩擦;电路变化;恒力的提供方式;等等。


例1、如图所示,光滑水平平行金属轨道,间距为L,金属杆质量为m,电容器电容为C,匀强磁场B与导轨平面垂直,不计一切电阻。杆在恒定外力作用下由静止向右运动,讨论杆的运动情况。

图片

解析:金属杆切割磁感线产生感应电动势相当于电源,给电容器充电,电路中产生电流。由于电路中的电流因给电容器C充电而形成,故不能根据欧姆定律求解,那么如何求解这个问题呢?可以从电流的形成原因入手,运用微元的思想来求电流。因为电荷的定向移动形成电流,因此I=Δqt,其中Δt是一段极短的时间、Δq是这一段极短时间Δt内通过电路的电荷量。

动力学分析:开始时金属杆只受外力F,加速度图片,故杆的速度增大。

设某时刻速度为v,此时杆两端电动势为E=BLv,经历极短时间Δt后,杆的速度为v'=v+Δv,杆两端电动势为E'=BLv'

故极短时间Δt内通过电路的电流为:

图片 

即:图片

故金属杆所受安培力为:FA=BIL=CB2L2a

对杆:根据牛顿第二定律,有:F-FA=ma

解得:图片为常量,即金属杆做初速度为0的匀加速运动,所以金属杆任意时刻的速度为:

图片

v-t图像为:

图片

电流也是恒定,电流为:

图片

动量分析:设t时刻金属杆的速度大小为v,0到t时刻,经历的时间为Δt=t-0,由动量定理有:

图片

又:q=CBLv

解得:图片

能量分析:通过拉力F做的功,外界能量一部分转化为电容器内储存的电场能,另一部分转化为金属杆的动能,由功能原理可知:图片


例2、(多选)如图所示,两根足够长光滑平行金属导轨PP′、QQ′倾斜放置,匀强磁场垂直于导轨平面,导轨的上端与水平放置的两金属板M、N相连,板间距离足够大,板间有一带电微粒,金属棒ab水平跨放在导轨上,下滑过程中与导轨接触良好.现同时由静止释放带电微粒和金属棒ab,则 ( BC )

图片

A.金属棒ab最终可能匀速下滑

B.金属棒ab一直加速下滑

C.金属棒ab下滑过程中M板电势高于N板电势

D.带电微粒不可能先向N板运动后向M板运动


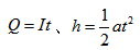
例3、如图所示, 竖直放置的光滑平行金属导轨, 相距l , 导轨一端接有一个电容器, 电容量为C, 匀强磁场垂直纸面向里, 磁感应强度为B, 质量为m的金属棒ab可紧贴导轨自由滑动. 现让ab从离地面高为h的位置由静止下滑, 不考虑空气阻力, 也不考虑任何部分的电阻和自感作用. 求金属棒落地时的速度为多大?

图片

解析:ab在mg 作用下加速运动,经时间 t ,速度增为v,a =v / t

产生感应电动势E=Bl v   

电容器带电量Q=CE=CBl v,感应电流I=Q/t=CBL v/ t=CBl a

产生安培力F=BIl = CB2 l 2a,由牛顿运动定律mg-F=ma

ma= mg - CB2 l 2a  ,a= mg / (m+C B2)

∴ab做初速为零的匀加直线运动, 加速度 a= mg / (m+C B2 l 2)

落地速度为

图片


例4、如图所示,质量为M的导体棒ab,垂直放在相距为l的平行光滑金属导轨上.导轨平面与水平面的夹角为θ,并处于磁感应强度大小为B、方向垂直于导轨平面向上的匀强磁场中.左侧是水平放置、间距为d的平行金属板.RRx分别表示定值电阻和滑动变阻器的阻值,不计其他电阻.

(1)调节RxR,释放导体棒,当棒沿导轨匀速下滑时,求通过棒的电流I及棒的速率v.

(2)改变Rx,待棒沿导轨再次匀速下滑后,将质量为m、带电量为+q的微粒水平射入金属板间,若它能匀速通过,求此时的Rx.

图片

答案:(1)图片 图片 (2)图片

解析:(1)对匀速下滑的导体棒进行受力分析如图所示.

图片

导体棒所受安培力图片=BIl ①

导体棒匀速下滑,所以图片=Mgsin θ ②

联立①②式,解得I=图片 

导体棒切割磁感线产生感应电动势E=Blv ④

由闭合电路欧姆定律得I=图片,且Rx=R,所以I=图片 ⑤

联立③④⑤式,解得v=图片

(2)由题意知,其等效电路图如图所示.

图片

由图知,平行金属板两板间的电压等于Rx两端的电压.

设两金属板间的电压为U,因为导体棒匀速下滑时的电流仍

为I,所以由欧姆定律知U=IRx ⑥

要使带电的微粒匀速通过,则mg=q图片 ⑦

联立③⑥⑦式,解得Rx=图片.


例5、(2013年全国卷)如图所示,两条平行导轨所在平面与水平地面的夹角为θ,间距为L。导轨上端接有一平行板电容器,电容为C。导轨处于匀强磁场中,磁感应强度大小为B,方向垂直于导轨平面。在导轨上放置一质量为m的金属棒,棒可沿导轨下滑,且在下滑过程中保持与导轨垂直并良好接触。已知金属棒与导轨之间的动摩擦因数为μ,重力加速度大小为g。忽略所有电阻。让金属棒从导轨上端由静止开始下滑,求:

图片

(1)电容器极板上积累的电荷量与金属棒速度大小的关系;

(2)金属棒的速度大小随时间变化的关系。

解析:(1)设金属棒下滑的速度大小为v,则感应电动势为 E=BLv ①
平行板电容器两极板的电压为U,U=E ②
设此时电容器极板上储存的电荷为Q,按定义有图片 ③

联立①②③式解得图片 ④
(2)设金属棒下滑的速度大小为v时经历的时间为t,通过金属棒的电流为I,金属棒受到磁场的安培力为F,方向沿导轨向上,大小为F="BLI" ⑤

设在t~t+∆t时间间隔内流经金属棒的电荷量为图片,按定义有图片 ⑥

图片也是平行板电容器两极板在t~t+∆t时间间隔内增加的电荷量,由④式可得图片 ⑦

式中图片为金属棒速度的变化量,由加速度的定义有图片 ⑧
分析导体棒的受力:受重力mg,支持力N,滑动摩擦力f,沿斜面向上的安培力F。
N=mgcosθ ⑨

图片 ⑩

图片 (11)

联立⑤至(11)式,得:图片 (12)
由(12)式及题设可知,金属棒做初速为零的匀加速直线运动,t时刻金属棒下滑的速度大小为v
图片 (13)


例6、如图所示,处于匀强磁场中的两根足够长且电阻不计的平行金属导轨相距L,导轨平面与水平面重合,左端用导线连接电容为C的电容器(能承受的电压足够大)。已知匀强磁场的磁感应强度大小为B、方向竖直向上。一质量为m、电阻不计的直金属棒垂直放在两导轨上,一根绝缘的、足够长的轻绳一端与棒的中点连接,另一端跨过定滑轮挂一质量为m的重物。现从静止释放重物并通过轻绳水平拖动金属棒运动(金属棒始终与导轨垂直并保持良好接触,不计滑轮质量和所有摩擦)。求:

图片

(1)若某时刻金属棒速度为v,则电容器两端的电压多大?

(2)求证:金属棒的运动是匀加速直线运动;

(3)当重物从静止开始下落一定高度时,电容器带电量为Q,则这个高度h多大?

解析:(1)电容器两端的电压U等于导体棒上的电动势E,有:U=E=BLv

(2)金属棒速度从v增大到v+Δv的过程中,用时Δt(Δt→0),加速度为a,

电容器两端的电压为:U=BLv

电容器所带电量为:q=CU=CBLv

图片

式中各量都是恒量,加速度保持不变,故金属棒的运动是匀加速直线运动。

由于金属棒做匀加速直线运动,且电路中电流恒定,由:图片

又:图片

解得:图片


二、第二类

图片

电路中电阻不可以完全忽略。首先开关扳到左边,电源给电容器充电,之后开关扳到右边,电容器作为等效电源开始放电,导体棒在安培力作用下开始运动,导体棒产生的反电动势与电容器的电压互相抵消,导致电路中电流减小,安培力减小,加速度减小,故导体棒做加速度减小的加速运动,导体棒产生的反电动势逐渐增加,由于电容器放电,电容器的电压逐渐减小,最终总电动势为0,导体棒的收尾状态为匀速运动。

设某一时刻电容器两端电压为U。

此时总电动势为:

图片

安培力为:

图片

收尾状态,导体棒匀速运动。

此时:图片

电容器的电量为

图片

电容器的初始电量为:

图片

从开关扳到右边开始,到收尾状态:

对导体棒,根据动量定理,有:

图片

图片

图片

解得:

收尾速度:图片

通过电路电荷量:

图片


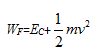
例1、(2017天津高考)电磁轨道炮利用电流和磁场的作用使炮弹获得超高速度,其原理可用来研制新武器和航天运载器。电磁轨道炮示意如图,图中直流电源电动势为E,电容器的电容为C。两根固定于水平面内的光滑平行金属导轨间距为l,电阻不计。炮弹可视为一质量为m、电阻为R的金属棒MN,垂直放在两导轨间处于静止状态,并与导轨良好接触。首先开关S接1,使电容器完全充电。然后将S接至2,导轨间存在垂直于导轨平面、磁感应强度大小为B的匀强磁场(图中未画出),MN开始向右加速运动。当MN上的感应电动势与电容器两极板间的电压相等时,回路中电流为零,MN达到最大速度,之后离开导轨。问:

图片

(1)磁场的方向;

(2)MN刚开始运动时加速度a的大小;

(3)MN离开导轨后电容器上剩余的电荷量Q是多少。

答案:(1)磁场的方向垂直于导轨平面向下  (2)图片  (3)图片

解析:(1)电容器充电后上板带正电,下板带负电,放电时通过MN的电流由MN,欲使炮弹射出,安培力应沿导轨向右,根据左手定则可知磁场的方向垂直于导轨平面向下。

(2)电容器完全充电后,两极板间电压为E,根据欧姆定律,电容器刚放电时的电流:图片

炮弹受到的安培力:图片

根据牛顿第二定律:图片

解得加速度图片

(3)当电容器充电完毕时,设电容器上电量为图片

接2后,MN开始向右加速运动,速度达到最大值时,设MN上的感应电动势为E',有:图片

依题意有:图片

设在此过程中MN的平均电流为图片上受到的平均安培力为图片,有:图片

由动量定理,有:图片

又:图片

解得,最终电容器所带电荷量图片


例2、电磁弹射技术是一种新兴的直线推进技术,适宜于短行程发射大载荷,在军事、民用和工业领域具有广泛应用前景。我国已成功研制出用于航空母舰舰载机起飞的电磁弹射器。它由发电机、直线电机、强迫储能装置和控制系统等部分组成。

图片

电磁弹射器可以简化为如图所示的装置以说明其基本原理。电源和一对足够长平行金属导轨MN分别通过单刀双掷开关K与电容器相连。电源的电动势E=10V,内阻不计。两条足够长的导轨相距L=0.1m且水平放置,处于磁感应强度B=0.5T的匀强磁场中,磁场方向垂直于导轨平面且竖直向下,电容器的电容C=10F。现将一质量m=0.1kg、电阻r=0.1Ω的金属滑块垂直放置于导轨的滑槽内,分别与两导轨良好接触。将开关K置于a使电容器充电,充电结束后,再将开关K置于b,金属滑块会在电磁力的驱动下运动,不计导轨和电路其他部分的电阻,且忽略金属滑块运动过程中的一切阻力,不计电容充放电过程中该装置向外辐射的电磁能量及导轨中电流产生的磁场对滑块的作用。

1)在电容器放电过程中,金属滑块两端电压与电容器两极间电压始终相等。求在开关K置于b瞬间,金属滑块的加速度的大小a

2)求金属滑块最大速度v

3a.电容器是一种储能装置,当电容两极间电压为U时,它所储存的电能A=CU2/2。求金属滑块在运动过程中产生的焦耳热Q

b.金属滑块在运动时会产生反电动势,使金属滑块中大量定向运动的自由电子又受到一个阻力作用。请分析并计算在金属滑块运动过程中这个阻力所做的总功W

答案:(1)见解析(2)40m/s(3)a. 400J;b. –80J

解析:(1)开关K置于b瞬间,流过金属滑块的电流: 

金属滑块受到安培力作用,由牛顿运动定律:BIL=ma

(2) 设金属滑块做加速运动到最大速度时两端的电压为U,电容器放电过程中的电荷量变化为Δq,放电时间为Δt,流过金属滑块的平均电流为I

电容放电过程的电荷量变化Δq=C(E-U)

金属滑块速度最大时,其两端电压U=BLv

由电流定义有Δq=IΔt

在金属滑块运动过程中,由动量定理有:BILΔt=mv-0

联立以上各式,可得:v=40m/s

(3)a. 由U=BLv可知电容器两端最终电压U=2V

由能量守恒定律有: 

解得:Q=400J

b.因金属滑块做切割磁感线运动产生反电动势,由此使滑块中的自由电荷受到阻碍其定向运动的洛伦兹力(即阻力);同时由于金属滑块中的自由电荷定向运动还使其受到洛伦兹力,金属滑块中的所有自由电荷所受的合力在宏观上表现为金属滑块的安培力。

由动能定理可知安培力做功:

的合力,即洛伦兹力f不做功,所以金属滑块运动过程中阻力所做的总功为:


例3、电磁弹射在电磁炮、航天器、舰载机等需要超高速的领域中有着广泛的应用,如图所示为电磁弹射的示意图。

为了研究问题的方便,将其简化为如图所示的模型(俯视图)。

发射轨道被简化为两个固定在水平面上、间距为L且相互平行的金属导轨,整个装置处于竖直向下、磁感应强度为B的匀强磁场中。发射导轨的左端为充电电路,已知电源的电动势为E,电容器的电容为C,子弹载体被简化为一根质量为m、长度也为L的金属导体棒,其电阻为r。金属导体棒,其电阻为r。金属导体棒垂直放置于平行金属导轨上,忽略一切摩擦阻力以及导轨和导线的电阻。

(1)发射前,将开关S接a,先对电容器进行充电。

a.求电容器充电结束时所带的电荷量Q;

b.充电过程中电容器两极板间的电压y随电容器所带电荷量q发生变化。请在图中画出u-q图像;并借助图像求出稳定后电容器储存的能量

(2)电容器充电结束后,将开关b,电容器通过导体棒放电,导体棒由静止开始运动,导体棒离开轨道时发射结束。电容器所释放的能量不能完全转化为金属导体棒的动能,将导体棒离开轨道时的动能与电容器所释放能量的比值定义为能量转化效率。若某次发射结束时,电容器的电量减小为充电结束时的一半,不计放电电流带来的磁场影响,求这次发射过程中的能量转化效率η。

解析:(1)a、根据电容的定义

电容器充电结束时其两端电压U等于电动势E,解得电容器所带电荷量

b、根据以上电容的定义可知,画出q-u图像如图所示:

有图像可知,稳定后电容器储存的能量为图中阴影部分的面积

将Q代入解得

(2)设从电容器开始放电至导体棒离开轨道时的时间为t,放电的电荷量为∆Q,平均电流为I,导体棒离开轨道时的速度为v。

以导体棒为研究对象,根据动量定理BLIt=mv-0或∑BLi∆t=∑m∆v

根据电流定义可知It=∆Q或∑i∆t=∆Q

根据题意有∆Q=,联立解得

导体棒离开轨道时的动能

电容器释放的能量

联立解得能量转化效率 


三、第三类

电路中电阻不可以完全忽略


例1、图甲、乙、丙中除导体棒出可动外,其余部分均固定不动。甲图中的电容器C原来不带电,所有导体棒、导轨电阻均可忽略,导体棒和导轨间的摩擦也不计,导体棒ab的质量为m。图中装置均在水平面内,且都处于方向垂直水平面(即纸面)向下的匀强磁场中,磁感应强度为B,导轨足够长,间距为L0今给导体棒ab 一个向右的初速度vo,则(     )

A. 三种情况下,导体棒ab最终都静止

B. 三种情况下,导体棒ab最终都做匀速运动

C. 图甲、丙中ab 棒最终都向右做匀速运动

D. 图乙中,流过电阻R的总电荷量为

解析:图甲中,导体棒向右运动切割磁感线产生感应电流而使电容器充电,当电容器C极板间电压与导体棒产生的感应电动势相等时,电路中没有电流,ab棒不受安培力,向右做匀速运动;图乙中,导体棒向右运动切割磁感线产生感应电流,通过电阻R转化为内能,ab棒速度减小,当ab棒的动能全部转化为内能时,ab棒静止;图丙中,导体棒先受到向左的安培力作用向右做减速运动,速度减为零后再在安培力作用下向左做加速运动,当导体棒产生的感应电动势与电源的电动势相等时,电路中没有电流,ab棒向左做匀速运动,故ABC错误;图乙中根据动量定理: ,通过的电荷量为: ,故D正确。所以D正确,ABC错误。


例2、如图所示,水平面上有两根足够长的光滑平行金属导轨MNPQ,两导轨间距为l,电阻均可忽略不计。在MP之间接有阻值为R的定值电阻,导体杆ab质量为m、电阻为r,并与导轨接触良好。整个装置处于方向竖直向上磁感应强度为B的匀强磁场中。现给ab杆一个初速度,使杆向右运动。


(1)当ab杆刚好具有初速度
时,求此时ab杆两端的电压U,a、b两端哪端电势高;

(2)请在图中定性画出通过电阻R的电流i随时间变化规律的图象;

(3)若将M和P之间的电阻R改为接一电容为C的电容器,如图所示。同样给ab杆一个初速度,使杆向右运动。请分析说明ab杆的运动情况,并推导证明杆稳定后的速度为

解析:(1)ab杆切割磁感线产生感应电动势

根据全电路欧姆定律

ab杆两端电压即路端电压

联立解得,a端电势高

(2)图像如图所示

(3)当ab杆以初速度开始切割磁感线时,产生感应电动势,电路开始给电容器充电,有电流通过ab杆,杆在安培力的作用下做减速运动,随着速度减小,安培力减小,加速度也减小,杆做加速度减小的减速运动。当电容器两端电压与感应电动势相等时,充电结束,杆以恒定的速度做匀速直线运动。

当电容器两端电压与感应电动势相等时有U=Blv,根据电容器电容

以ab杆为研究对象,在很短的一段时间△t内,杆受到的冲量大小为BIl△t

从ab杆开始运动至速度达到稳定的过程,根据动量定理,联立可得


联系菏泽博智

  • 1对1咨询:
  • 15506627178
  • 课程咨询:立即咨询
  • 咨询热线:
  • 15506627178
  • 13854026679
  • Copyright © 2017-2025 菏泽博智教育咨询有限公司 版权所有    鲁ICP备20020203号    鲁公网安备37170202666046 技术支持:千合网络